• 网站首页
  • 教育项目
  • 招生代理
  • 学校招聘
  • 教育机构
  • 招生考试
  • 新闻资讯
  • 招生资源
  • 综合新闻
  • 教育评论
  • 人物访谈
  • 政策法规
  • 时事关注
  • 图片新闻
  • 招生技巧
位置:招生代理网 >> 新闻资讯 >> 图片新闻 >> 浏览信息

中戏2018艺考成绩出炉 易烊千玺专业排名第一

2025/12/18

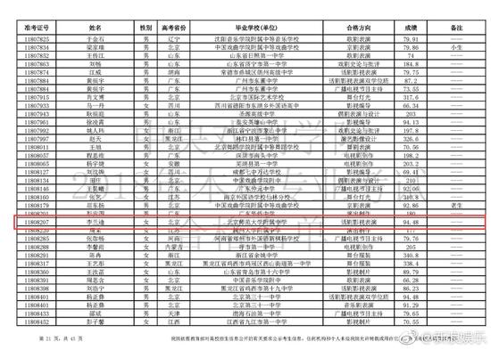
今天中央戏剧学院公布2018年艺术类考试合格名单,其中话剧影视表演专业中易烊千玺以94.85分排名全国第一,李兰迪 以94.48分排名女生第一,全国第二,胡先煦 94.4分,均超过合格分数线(60分)30多分,恭喜三位准大学生!


推荐教育项目

  • 山东力明学院(中西医结合大学)医学、护理、药学类专业招生简章
  • 山东华海技工学校国际部面向全国招生合作
  • 诚邀马来西亚联合办学合伙人:协议辅导毕业,官方学费分成
  • 马来亚大学本科预科(江南大学)春季班火热招生中
  • 校企合作委培应届生就业项目--全国诚招代理
  • 俄罗斯名校直通班面向全国招生合作
  • 上一篇:我们中学教材上的这幅名画,被“脸书”认定为色情给屏蔽了……
  • 下一篇:三个高考白卷少年十年走上不同人生路

相关文章

  • 4个月减重60斤,武汉学子闯进中戏北影复试
  • 美少女通过8校艺考 中戏北电上戏都要她
  • 评论:“整过容的不要”,艺考这要求过分吗
  • 关于艺考,有哪些你不知道的有趣故事?

推荐图文

  • 破局乡村人才短缺!南海培育大学生 “乡村 CEO”,激
    破局乡村人才短缺!南海培育大学生 “乡村 CEO”,激
    2025-09-19
  • 四川一高校保安被曝将学生外卖丢垃圾桶 校方通报:赔
    四川一高校保安被曝将学生外卖丢垃圾桶 校方通报:赔
    2025-09-18
  • 澳洲多所高校将合并成“新八大”!数万学生将躺赢QS
    澳洲多所高校将合并成“新八大”!数万学生将躺赢QS
    2025-09-05
  • 2025年澳大利亚十大医学学院:录取、学费、热门课程
    2025年澳大利亚十大医学学院:录取、学费、热门课程
    2025-07-22

最新图片新闻

  • 中国高中和美国高中有
  • 男子为庆祝孩子考上大
  • 三个高考白卷少年十年
  • 中戏2018艺考成绩出炉
  • 我们中学教材上的这幅
  • 教育部将出五招减负:
  • 曾是理科状元,清华毕
  • 香港学生告英国母校赔
  • 关于艺考,有哪些你不
  • “教育热点问题20问”

热门图片新闻

  • 中国高中和美国高中有
  • 女高考状元网易挑中 实
  • 明星高考成绩曝光  最
  • 盘点常见高招诈骗手法
  • “学屌”成微博最热词
  • 00后小学生求爱 80后自
  • 让老师无法谈定的考卷

推荐图片新闻

  • 中国高中和美国高中有
  • 愤怒!6名城管为何殴打
  • 明星高考成绩曝光  最
  • 盘点常见高招诈骗手法
  • 女生高分考入大学 因面
  • 大学生就业难 当清洁工
  • 富二代新生开豪车报到
  • 女生过于亲密 或养成同
  • 让老师无法谈定的考卷
  • 培训招生竟打“劳动局
关于我们 - 常见问题 - 法律申明 - 联系方式 - 网站地图
Copyright 2007-2024 代招网(招生代理网) All Rights Reserved.